Упр.7.11 ГДЗ Мордкович 9 класс (Алгебра)
Решение #1
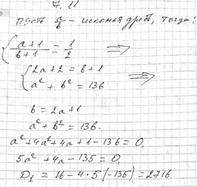
Решение #2

Рассмотрим вариант решения задания из учебника Мордкович 9 класс, Мнемозина:
7.11. Если к числителю и знаменателю обыкновенной дроби прибавить по 1, то дробь станет равна 1/2, а если сложить квадраты числителя и знаменателя исходной дроби, то получится 146. Найдите исходную дробь.
*размещая тексты в комментариях ниже, вы автоматически соглашаетесь с пользовательским соглашением