Упр.9.13 ГДЗ Мордкович 9 класс (Алгебра)
Решение #1
Решение #2

Рассмотрим вариант решения задания из учебника Мордкович 9 класс, Мнемозина:
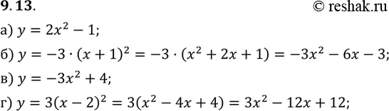
9.13. Задайте формулой у = ах2 + bх + с функцию, график которой изображен;
а) на рис. 37;
б) на рис. 38;
в) на рис. 39;
г) на рис. 40.
*размещая тексты в комментариях ниже, вы автоматически соглашаетесь с пользовательским соглашением