Упр.6.4 ГДЗ Мордкович 9 класс (Алгебра)
Решение #1
Решение #2

Рассмотрим вариант решения задания из учебника Мордкович 9 класс, Мнемозина:
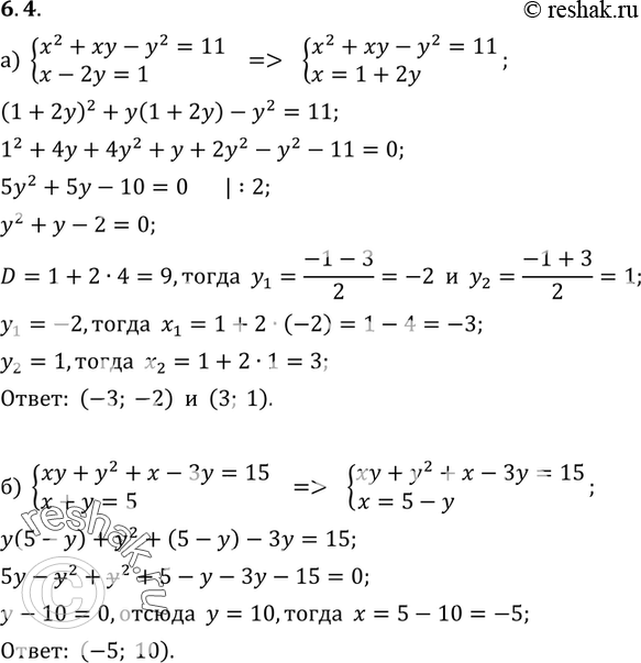
6.4 а) система
x2+xy-y2=11,
x-2y=1;
б) система
xy+y2+x-3y=15,
x+y=5;
в) система
x2+xy-x-y=2,
x-y=2;
г) система
x2+y2+3xy=-1,
x+2y=0.
*размещая тексты в комментариях ниже, вы автоматически соглашаетесь с пользовательским соглашением