Упр.5.36 ГДЗ Мордкович 9 класс (Алгебра)
Решение #1
Решение #2

Рассмотрим вариант решения задания из учебника Мордкович 9 класс, Мнемозина:
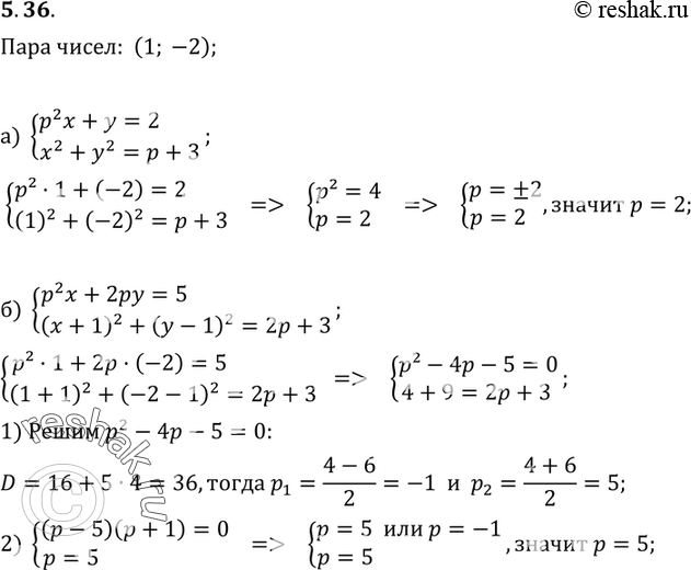
5.36. При каком значении параметра р пара чисел (1; -2) является решением системы уравнений:
а) система
p2x+y=2,
x2+y2=p+3;
б) система
p2x+2py=5,
(x+1)2+(y-1)2=2p+3?
*размещая тексты в комментариях ниже, вы автоматически соглашаетесь с пользовательским соглашением