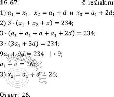
Упр.16.67 ГДЗ Мордкович 9 класс (Алгебра)
Решение #1
Решение #2

Рассмотрим вариант решения задания из учебника Мордкович 9 класс, Мнемозина:
16.67. Три числа в заданном порядке образуют арифметическую прогрессию. Найдите среднее число, если известно, что утроенная сумма кратных чисел равна 234.
*размещая тексты в комментариях ниже, вы автоматически соглашаетесь с пользовательским соглашением