Упр.80 ГДЗ Макарычев Миндюк 8 класс (Алгебра)
Решение #1
Решение #2
Решение #3

Рассмотрим вариант решения задания из учебника Макарычев, Миндюк, Нешков 8 класс, Просвещение:
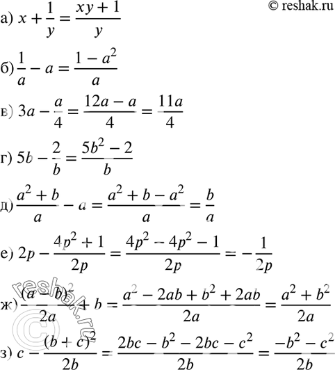
80. Преобразуйте в дробь выражение:
а) x+1/y;
б) 1/a-a;
в) 3a-a/4;
г) 5b-2/b;
д) (a2+b)/a-a;
е) 2p-(4p2+1)/2p;
ж) (a-b)2/2a+b;
з) c- (b+c)2/2b.
*размещая тексты в комментариях ниже, вы автоматически соглашаетесь с пользовательским соглашением