Упр.69 ГДЗ Колягин Ткачёва 9 класс (Алгебра)
Решение #1

Рассмотрим вариант решения задания из учебника Колягин, Ткачёва, Фёдорова 9 класс, Просвещение:
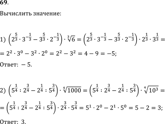
69. Вычислить:
1) (2^(5/3)·3^(-1/3)-3^(5/3)·2^(-1/3))·6^(1/3);
2) (5^(1/4):2^(3/4)-2^(1/4):5^(3/4))·1000^(1/4).
*размещая тексты в комментариях ниже, вы автоматически соглашаетесь с пользовательским соглашением