Упр.601 ГДЗ Никольский Потапов 9 класс (Алгебра)

Решение #1

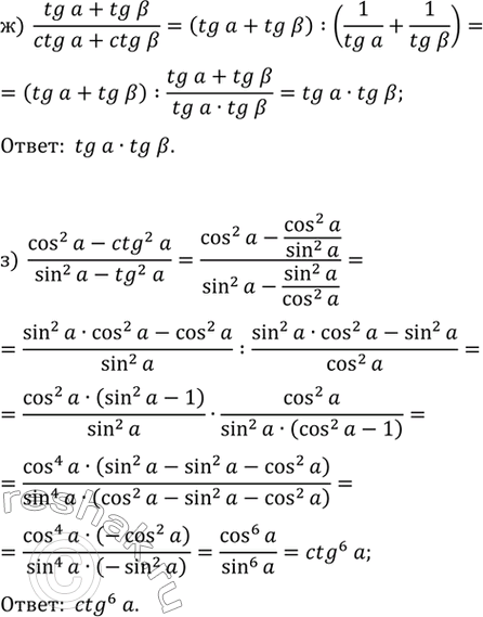
Изображение 601.а) sinb•ctgbб) tga•ctgaв) sinb:tgbг) cosa•tgaд) cosa•(1+tg^2a)е) 1- sin^2a+ctg^2a•sin^2aж) (tga+tgb)/(ctga+ctgb)з) (cos^2a-ctg^2a)/(sin^2a-tg^2a...
Дополнительное изображение

Решение #2

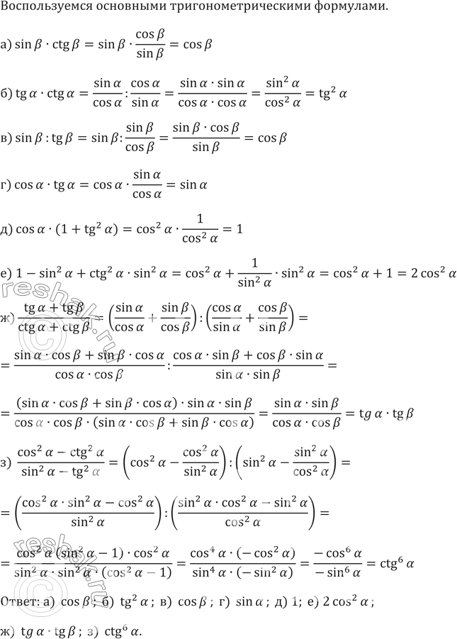
Изображение 601.а) sinb•ctgbб) tga•ctgaв) sinb:tgbг) cosa•tgaд) cosa•(1+tg^2a)е) 1- sin^2a+ctg^2a•sin^2aж) (tga+tgb)/(ctga+ctgb)з) (cos^2a-ctg^2a)/(sin^2a-tg^2a...

Рассмотрим вариант решения задания из учебника Никольский, Потапов 9 класс, Просвещение:
601.
а) sinb•ctgb
б) tga•ctga
в) sinb:tgb
г) cosa•tga
д) cosa•(1+tg^2a)
е) 1- sin^2a+ctg^2a•sin^2a
ж) (tga+tgb)/(ctga+ctgb)
з) (cos^2a-ctg^2a)/(sin^2a-tg^2a )
*Цитирирование задания со ссылкой на учебник производится исключительно в учебных целях для лучшего понимания разбора решения задания.
*размещая тексты в комментариях ниже, вы автоматически соглашаетесь с пользовательским соглашением