Упр.57 ГДЗ Колягин Ткачёва 9 класс (Алгебра)
Решение #1

Рассмотрим вариант решения задания из учебника Колягин, Ткачёва, Фёдорова 9 класс, Просвещение:
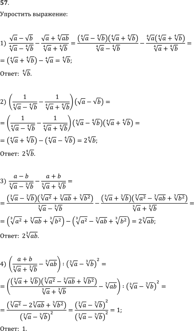
57. Упростить выражение:
1) (va-vb)/(a^(1/4)-b^(1/4))-(va+(ab)^(1/4))/(a^(1/4)+b^(1/4));
2) (1/(a^(1/4)-b^(1/4))-1/(a^(1/4)+b^(1/4)))(va-vb);
3) (a-b)/(a^(1/3)-b^(1/3))-(a+b)/(a^(1/3)+b^(1/3));
4) ((a+b)/(a^(1/3)+b^(1/3))-(ab)^(1/3)):(a^(1/3)-b^(1/3))^2.
*размещая тексты в комментариях ниже, вы автоматически соглашаетесь с пользовательским соглашением