Упр.305 ГДЗ Муравин 7 класс (Алгебра)
Решение #1

Рассмотрим вариант решения задания из учебника Муравин, Муравина 7 класс, Дрофа:
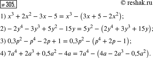
305. Представьте многочлен в виде разности одночлена и трёхчлена:
1) x^3 + 2х^2 - 3x - 5; 3) 0,3р^2 - р^4 - 2р + 1;
2) -2у^4 - 3у^3 + 5у^2 - 15у; 4) 7а^4 + 2а^3 + 0,5а^2 - 4а.
*размещая тексты в комментариях ниже, вы автоматически соглашаетесь с пользовательским соглашением