Упр.303 ГДЗ Муравин 7 класс (Алгебра)
Решение #1

Рассмотрим вариант решения задания из учебника Муравин, Муравина 7 класс, Дрофа:
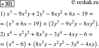
303. Представьте многочлен в виде суммы двух многочленов так, чтобы один из многочленов не содержал переменной у:
1) х^3 - 9х^2 у + 2у^3 - 8ху^2 + 6x - 19;
2) х^4 - х^2 у^2 + 8х^3 у - 3у^4 - 4ху - 6.
*размещая тексты в комментариях ниже, вы автоматически соглашаетесь с пользовательским соглашением