Упр.23 ГДЗ Никольский Потапов 9 класс (Алгебра)

Решение #1

Изображение 23.а) 2x-4>0 б) 3x-10  г) 7x+40  ...
Дополнительное изображение

Решение #2

Изображение 23.а) 2x-4>0 б) 3x-10  г) 7x+40  ...
Дополнительное изображение

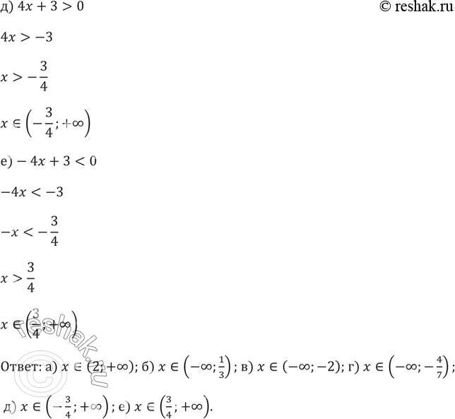
Рассмотрим вариант решения задания из учебника Никольский, Потапов 9 класс, Просвещение:
23.
а) 2x-4>0
б) 3x-1<0
в)-2x-4>0
г) 7x+4<0
д) 4x+3>0
е)-4x+3<0
*Цитирирование задания со ссылкой на учебник производится исключительно в учебных целях для лучшего понимания разбора решения задания.
*размещая тексты в комментариях ниже, вы автоматически соглашаетесь с пользовательским соглашением