Упр.15 ГДЗ Никольский Потапов 9 класс (Алгебра)

Решение #1

Изображение Упр.15 ГДЗ Никольский Потапов 9 класс

Решение #2

Изображение Упр.15 ГДЗ Никольский Потапов 9 класс
Дополнительное изображение

Рассмотрим вариант решения задания из учебника Никольский, Потапов 9 класс, Просвещение:
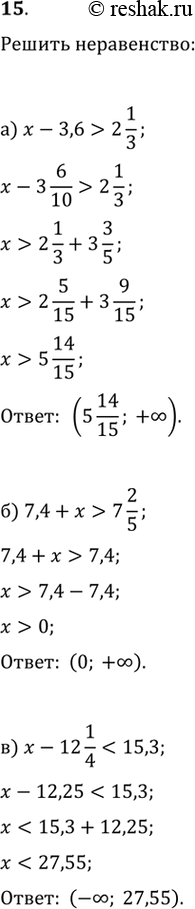
15.
а) x-3,6>2 1/3
б) 7,4+x>72/5
в) x-12 1/4<15,3
*Цитирирование задания со ссылкой на учебник производится исключительно в учебных целях для лучшего понимания разбора решения задания.
*размещая тексты в комментариях ниже, вы автоматически соглашаетесь с пользовательским соглашением